

Yakup Yildirim, Anjan Biswas
Contemporary Mathematics
M. Elsaid Ramadan, Mohammed S. Ghayad, Hamdy M. Ahmed, Niveen M. Badra, Wafaa B. Rabie
Contemporary Mathematics
Muhammad Aslam, Nasrullah Khan, Florentin Smarandache
Contemporary Mathematics
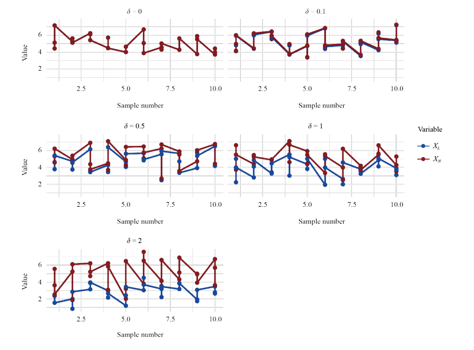
Aiedh Mrisi Alharthi, Muhammad Hilal Alkhudaydi, Zakariya Yahya Algamal
Contemporary Mathematics
Eric M. Garcia, Hosane A. Taroco, Julio O. F. Melo, Patrícia A. Rocha, Roseli M. Balestra, Cristiane G. Taroco, Honória F. Gorgulho
Fine Chemical Engineering
Jing Zhou, Zili Xie, Xiangqian Xiu, Dunjun Chen, Yi Shi, Rong Zhang, Youdou Zheng, Peng Chen
Transactions in Optics and Photonics
Hilde Hiim, Ann Lisa Sylte
Social Education Research
S. V. Averin, V. A. Luzanov, V. A. Zhitov, L. Yu. Zakharov, V. M. Kotov
Transactions in Optics and Photonics